DDR-Meisterschaften von 1965 bis 1990 im Vierspännerfahren in Zerbst
Erschienen am 29.07.2020
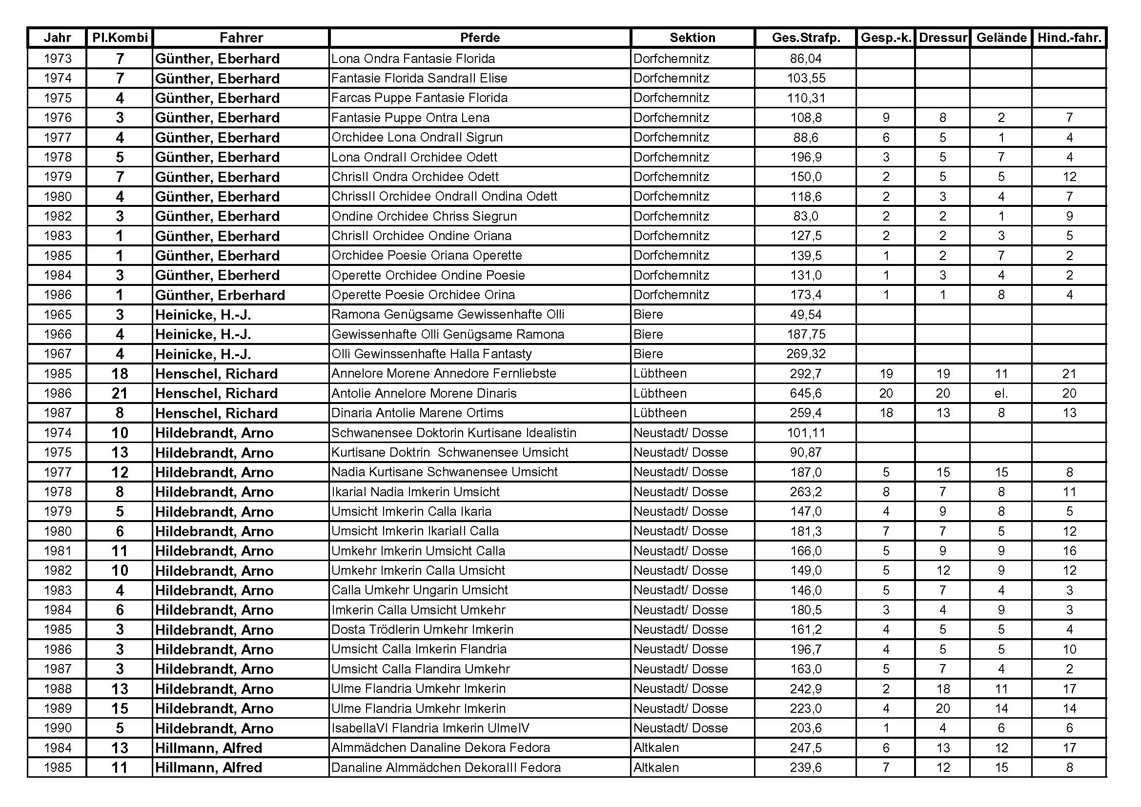
Dorit Wolf aus Muchow, Vorsitzende des Fahrausschuss in Mecklenburg-Vorpommern und Tochter des einstigen Vierspännerfahrers Heinrich Warnecke (Lewitz) hat die Namen und Ergebnisse aller Fahrer zusammengestellt, die an den DDR-Meisterschaften im Vierspännerfahren der Jahre 1965 bis 1990 in Zerbst teilgenommen haben. In der folgenden Tabelle sind die Fahrer in alphabetischer Reihenfolge ihrer Familiennamen aufgeführt und die Teilnahme an den Meisterschaften nach Jahren sortiert. Die Tabelle enthält die in der 2. Spalte die Platzierung in der Kombinierten Prüfung, in der 6. Spalte die Gesamtstrafpunkte und in den folgenden vier Spalten die Platzierung in den Einzelteilen Gespannkontrolle, Dressur, Gelände und Hindernisfahren.
Albert Gaiser aus Schwinkendorf - 2010 im Alter von 82 Jahren gestorben, war in den Jahren 1965 bis 1990 der erfolgreichste Vierspännerfahrer in der ehemaligen DDR. 20 Mal hat er, der stets darauf bedacht war, seine Pferde intensiv dressurmäßig zu arbeiten (auch mit Reitern unter dem Sattel), an den Meisterschaften teilgenommen, holte viermal den Titel, war viermal Vizemeister und dreimal Bronzemedaillengewinner. Foto: Jutta Wego
Insgesamt haben in den Jahren 1965 bis 1990 an den 26 Meisterschaften 72 Fahrer teilgenommen. Darunter 13 aus dem Gebiet des heutigen Mecklenburg-Vorpommern. Interessant ist auch wie oft die einzelnen Fahrer an der Meisterschaft teilgenommen haben. An der Spitze liegt er unvergessene Albert Gaiser aus Schwinkendorf. 20 Mal nahm er in diesen Jahren an den Meisterschaften teil und konnte viermal den Meistertitel mit nach Schwinkendorf bringen. Viermal wurde er Vizemeister und dreimal gab es die Bronzemedaille. Damit ist Albert Gaiser, der am 3. März 1928 in Besarabien am Schwarzen Meer geborenen wurde und 2010 im Alter von 82 Jahren starb, der erfolgreichste Vierspännerfahrer in der ehemaligen DDR.
Fünf Fahrer brachten es auf jeweils drei Meistertitel. Das waren Friedrich Fahle (Leitzkau), Eberhard Günther (Dorfchemnitz), Eugen Lüer (Neustadt-Dosse), Reinhard Mäkelburg (Calvörde) und Helmut Reichelt (Polar Mittelbach.
Die DDR-Meister der Jahre 1965 bis 1990 im Vierspännerfahren
1965 Lohmann, Heinz Kohren-Sahlis
1966 Mäkelburg, Reinhard Calvörde
1967 Mäkelburg, Reinhard Calvörde
1972 Reichel, Helmuth Polar Mittelbach
1973 Reichelt, Helmut Polar Mittelbach
1974 Reichelt, Helmut Polar Mittelbach
1975 Gaiser, Albert Schwinkendorf
1976 Lüer, Eugen Neustadt/ Dosse
1977 Mäkelburg, Reinhard Calvörde
1978 Fahle, Friedrich Leitzkau
1979 Fahle, Friedrich Leitzkau
1980 Fahle, Friedrich Leitzkau
1981 Eberhard, Günther Dorfchemnitz
1982 Lüer, Eugen Neustadt/ Dosse
1983 Günther, Eberhard Dorfchemnitz
1984 Gaiser, Albert Schwinkendorf
1985 Günther, Eberhard Dorfchemnitz
1986 Günther, Erberhard Dorfchemnitz
1987 Lüer, Eugen Neustadt/ Dosse
1988 Gaiser, Albert Schwinkendorf
1989 Gaiser, Albert Schwinkendorf
1990 Natho, Rolf Zeitz
Elf Fahrer haben 10 Mal und mehr an DDR-Meisterschaften teilgenommen:
Eugen Lüer, Neustadt-Dosse (19); Herbert Dommasch, Pechau (18); Heinz Lohmann, Frohburg (18); Arno Hildebrandt, Neustadt-Dosse, (16); Herwig Schreier (16), Eberhardt Günther, Dorfchemnitz (14); Walter Kopperschmidt, Voigtsdorf (11); Rolf Natho, Steutz (11); Dietmat Schmidt, Jahnsdorf (11); Reinhard Mäkelburg, Calvörde (10).
Aus dem Gebiet des heutigen Mecklenburg-Vorpommern haben folgende 13 Fahrer in der Zeit von 1965 bis 1990 an DDR-Meisterschaften im Vierspännerfahren teilgenommen:
20 x Albert Gaiser (Schwinkendorf)
11 x Walter Kopperschmidt (Voigtsdorf)
8 x Heinrich Warnecke (Lewitz)
8 x Dietmar Timm (Lewitz)
6 x Erwin Lubahn (Nieden)
5 x Alfred Hillmann (Kleverhof)
3 x Richard Henschel (Lübtheen)
2 x Lothar Schulz (Ganschow)
1 x Jürgen Milharek (Ganschow)
1 x Joachim Schröder (Wagun)
1 x Freed Narloch (Demmin)
1 x Jörg Cröger (Schwinkendorf)




